بایوسایدها (Biocides) ترکیبات شیمیایی یا بیولوژیکی با عملکرد ضد میکروبی هستند که به طور گسترده در فرآیندهای صنعتی و سیستم های تصفیه به منظور کنترل رشد و فعالیت میکروارگانیسم ها مورد استفاده قرار می گیرند. این ترکیبات با مکانیسم های متفاوتی همچون تخریب غشای سلولی، مهار متابولیسم یا اکسیداسیون ساختارهای حیاتی، مانع تکثیر باکتری ها، قارچ ها و جلبک ها می شوند.
انتخاب نوع بایوساید (اکسید کننده یا غیر اکسید کننده) بر اساس شرایط فرآیندی، کیفیت آب، دما و نوع آلودگی میکروبی صورت می گیرد. استفاده صحیح از بایوساید نه تنها از تشکیل رسوب و بیوفیلم در تجهیزات جلوگیری می کند، بلکه نقش کلیدی در کاهش خوردگی میکروبی (MIC) و افزایش طول عمر سیستم های خنک کننده، مبدل های حرارتی و خطوط انتقال ایفا می نماید.
بایوساید چیست؟
بایوساید ترکیبی ضد میکروبی است که برای مهار و نابودی عوامل بیماری زا یا مزاحم در محیط های صنعتی و بهداشتی مورد استفاده قرار می گیرد. این مواد بسته به نوع خود می توانند اکسیدکننده یا غیر اکسیدکننده باشند. تفاوت اصلی بایوساید با ضدعفونی کننده ها در این است که بایوسایدها اغلب اثر طولانی تر و گسترده تری در کنترل رشد میکروارگانیسم ها دارند.
انواع بایوساید
به طور کلی بایوسایدها به دو دسته اصلی اکسیدکننده (Oxidizing Biocides) و غیر اکسیدکننده (Non-Oxidizing Biocides) تقسیم می شوند. هر دسته دارای مکانیسم عملکرد، مزایا و کاربردهای خاص خود است.
بایوسایدهای اکسیدکننده
بایوسایدهای اکسیدکننده ترکیباتی هستند که از طریق آزادسازی اکسیژن یا یون های فعال، دیواره و اجزای حیاتی سلول میکروارگانیسم ها را تخریب می کنند. این مواد به دلیل قدرت واکنش بالا، در غلظت های بسیار پایین هم توانایی نابودی سریع انواع باکتری ها، قارچ ها و جلبک ها را دارند. کلر به عنوان شناخته شده ترین بایوساید اکسیدکننده در تصفیه آب شهری و صنعتی به کار می رود و برم در محیط هایی با pH بالا عملکرد مناسبی از خود نشان می دهد.
ازن به دلیل قدرت اکسیدکنندگی بسیار بالا و نداشتن محصولات جانبی مضر، گزینه ای سازگار با محیط زیست محسوب می شود. همچنین پراکسید هیدروژن با تجزیه شدن به آب و اکسیژن، انتخابی ایمن و دوستدار محیط زیست است. بایوسایدهای اکسیدکننده بیشتر در سیستم های خنک کننده، برج های خنک کن و تصفیه آب مورد استفاده قرار می گیرند و اگرچه سرعت اثرگذاری بالایی دارند، اما ماندگاری اثر آنها نسبتاً کوتاه است.
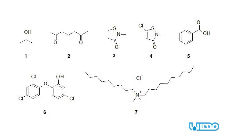
بایوسایدهای غیر اکسیدکننده
بایوسایدهای غیر اکسیدکننده برخلاف گروه قبلی، بدون انجام واکنش های اکسیداسیون عمل می کنند. این مواد با ایجاد اختلال در فرآیندهای متابولیکی سلول یا مهار سنتز پروتئین و آنزیم ها، باعث توقف رشد و مرگ میکروارگانیسم ها می شوند. یکی از پرکاربردترین ترکیبات در این گروه ایزوتیازولینون ها هستند که برای کنترل همزمان باکتری ها و قارچ ها کاربرد دارند.
گلوترآلدهید یکی دیگر از بایوسایدهای شناخته شده غیر اکسیدکننده است که به طور گسترده در صنعت نفت و گاز برای مقابله با باکتری های کاهنده سولفات (SRB) و جلوگیری از خوردگی میکروبی استفاده می شود. همچنین کواترنیوم ها که از ترکیبات آمونیوم چهارظرفیتی تشکیل شده اند، توانایی بالایی در کنترل رشد جلبک ها و برخی باکتری ها دارند. بایوسایدهای غیر اکسیدکننده اگرچه سرعت عملکرد کمتری نسبت به اکسیدکننده ها دارند، اما اثر آنها پایدارتر و طولانی تر است و در کنترل بیوفیلم و شرایطی که بار میکروبی مقاوم وجود دارد، بسیار مؤثر عمل می کنند.
کاربردهای بایوساید
بایوسایدها به دلیل توانایی در مهار و نابودی میکروارگانیسم های مضر، در طیف وسیعی از صنایع و فرآیندها مورد استفاده قرار می گیرند. این ترکیبات با جلوگیری از تشکیل بیوفیلم، کنترل باکتری ها، قارچ ها و جلبک ها و کاهش خطر خوردگی میکروبی، نقش کلیدی در ارتقای کیفیت محصولات، افزایش طول عمر تجهیزات و حفظ استانداردهای بهداشتی ایفا می کنند. از تصفیه آب و صنعت نفت و گاز گرفته تا صنایع غذایی، دارویی، کشاورزی و حتی دریایی، بایوسایدها یکی از ضروری ترین مواد شیمیایی برای کنترل آلودگی های زیستی به شمار می روند.
- سیستم های سرمایشی و برج های خنک کننده : در سیستم های سرمایشی و برج خنک کننده، رطوبت و دمای مناسب شرایطی ایده آل برای رشد جلبک ها، قارچ ها و باکتری ها فراهم می کند. تجمع این میکروارگانیسم ها به تشکیل بیوفیلم، کاهش راندمان انتقال حرارت، افزایش رسوب و در نهایت خوردگی تجهیزات منجر می شود. بایوسایدها در این بخش نقش اصلی در جلوگیری از رشد زیستی و افزایش عمر مفید تجهیزات ایفا می کنند.
- صنعت نفت و گاز: در صنایع نفت، گاز و پتروشیمی، بایوسایدها برای کنترل باکتری های کاهنده سولفات (SRB) استفاده می شوند. این باکتری ها با تولید سولفید هیدروژن موجب خوردگی میکروبی خطوط انتقال و مخازن می شوند. تزریق بایوساید با کمک پکیج تزریق سرچاهی در خطوط لوله، مخازن ذخیره و واحدهای فرآیندی باعث پیشگیری از خوردگی، بهبود کیفیت محصول و کاهش هزینه های تعمیرات می شود.
- تصفیه آب صنعتی و استخرها: در واحدهای تصفیه آب صنعتی، بایوساید به منظور جلوگیری از رشد میکروارگانیسم ها در فیلترها، مخازن و خطوط لوله به کار می رود. این مواد موجب حفظ کیفیت آب و افزایش بهره وری دستگاه تصفیه آب صنعتی می شوند. در استخرهای شنا نیز بایوسایدهایی مانند کلر و برم برای ضدعفونی و جلوگیری از انتقال بیماری های پوستی و عفونی مورد استفاده قرار می گیرند.
- صنایع غذایی و آشامیدنی: در این صنایع، کنترل آلودگی میکروبی اهمیت ویژه ای دارد. بایوسایدها برای شستشو و ضد عفونی خطوط تولید، مخازن ذخیره، سطوح تماس با مواد غذایی و حتی در فرآیند بسته بندی استفاده می شوند. این مواد با از بین بردن باکتری ها و قارچ ها، کیفیت و ماندگاری محصولات غذایی را افزایش می دهند.
- صنایع دارویی و بهداشتی: استانداردهای بهداشت در صنایع دارویی بسیار سخت گیرانه است. بایوسایدها برای استریل سازی تجهیزات تولید دارو، سیستم های تولید آب خالص (PW) و آب برای تزریق (WFI) و همچنین سطوح کارگاهی استفاده می شوند. این کاربردها مانع از آلودگی داروها و تضمین کننده سلامت بیماران هستند.
- کشاورزی و دامپروری: در کشاورزی، بایوساید برای ضدعفونی آب آبیاری و پیشگیری از بیماری های گیاهی ناشی از قارچ ها و باکتری ها به کار می رود. در دامپروری و مرغداری، از آن ها برای ضدعفونی آب آشامیدنی، سالن ها و تجهیزات استفاده می شود تا از شیوع بیماری های میکروبی و ویروسی جلوگیری شود و میزان تلفات کاهش یابد.
- صنایع خمیر و کاغذ: در فرآیند تولید خمیر و کاغذ، محیط مرطوب و مواد آلی موجود بستر مناسبی برای رشد میکروارگانیسم ها است. بایوسایدها در این صنعت برای جلوگیری از تشکیل لجن زیستی و افزایش کیفیت محصول نهایی استفاده می شوند.
- صنایع نساجی و چرم: در صنایع نساجی، بایوسایدها برای جلوگیری از رشد قارچ و کپک روی الیاف و پارچه ها به کار می روند. همچنین در صنعت چرم برای پیشگیری از فساد و تغییر رنگ ناشی از رشد میکروبی کاربرد دارند.
- رنگ، پوشش و مواد پلیمری: محصولات پلیمری، رنگ ها و پوشش ها در طول نگهداری یا مصرف ممکن است دچار رشد قارچ و باکتری شوند که منجر به تغییر رنگ، بوی نامطبوع و کاهش کیفیت می گردد. بایوسایدها به فرمولاسیون این محصولات اضافه می شوند تا پایداری و طول عمر آن ها را افزایش دهند.
- صنایع دریایی و کشتیرانی: سطوح غوطه ور در آب مانند بدنه کشتی ها، سکوهای نفتی و تجهیزات دریایی مستعد رشد جلبک ها و صدف ها هستند که باعث افزایش مقاومت هیدرودینامیکی و کاهش راندمان سوخت می شوند. بایوسایدها در پوشش های ضدخزه استفاده می شوند تا از چسبندگی این موجودات به سطوح جلوگیری کنند.
- سیستم های تهویه مطبوع: در سیستم های تهویه مطبوع و کانال های HVAC، رطوبت محیطی می تواند منجر به رشد قارچ و باکتری شود. استفاده از بایوسایدها در این سیستم ها مانع انتشار عوامل بیماری زا و بهبود کیفیت هوای داخل ساختمان می شود.
- کاربردهای پزشکی و بیمارستانی: در مراکز درمانی، بایوسایدها برای ضدعفونی سطوح، ابزار جراحی و تجهیزات پزشکی کاربرد دارند. این مواد در پیشگیری از عفونت های بیمارستانی و کنترل انتشار عوامل بیماری زا نقش حیاتی دارند.
نحوه عملکرد بایوساید
بایوسایدها ترکیبات شیمیایی یا بیولوژیکی هستند که برای کنترل و نابودی میکروارگانیسم های مضر مانند باکتری ها، قارچ ها، جلبک ها و ویروس ها به کار می روند. نحوه عملکرد آنها بسته به نوع بایوساید متفاوت است و معمولاً در دو دسته اصلی بایوسایدهای اکسیدکننده و غیر اکسیدکننده تقسیم می شوند.
بایوسایدهای اکسیدکننده با ایجاد واکنش های اکسیداسیون، ساختارهای حیاتی و دیواره سلولی میکروارگانیسم ها را تخریب می کنند. این فرآیند موجب از بین رفتن سریع باکتری ها، قارچ ها و جلبک ها می شود و حتی میکروارگانیسم های مقاوم نیز تحت تأثیر آن قرار می گیرند. مواد شناخته شده ای مانند کلر، ازن و پراکسید هیدروژن از این دسته هستند که اثرگذاری سریع و قوی دارند، هرچند ماندگاری اثر آنها کوتاه مدت است.
در مقابل، بایوسایدهای غیر اکسیدکننده بدون تخریب مستقیم دیواره سلولی، با ایجاد اختلال در عملکردهای حیاتی سلول مانند متابولیسم، سنتز پروتئین و فعالیت آنزیم ها عمل می کنند. این اختلال باعث توقف رشد و در نهایت مرگ میکروارگانیسم ها می شود. این نوع بایوسایدها معمولاً برای کنترل بیوفیلم و میکروارگانیسم های مقاوم استفاده می شوند و اثر طولانی تری نسبت به بایوسایدهای اکسیدکننده دارند.
در بسیاری از صنایع برای دستیابی به کنترل کامل میکروبی، از ترکیب بایوسایدهای اکسیدکننده و غیر اکسیدکننده استفاده می شود. بایوساید اکسیدکننده جمعیت میکروبی را به سرعت کاهش می دهد، در حالی که بایوساید غیر اکسیدکننده با اثر طولانی، مانع رشد دوباره میکروارگانیسم ها می شود. این مکانیسم ترکیبی باعث افزایش کارایی و حفاظت طولانی مدت سیستم های صنعتی، تصفیه آب و تجهیزات حساس می شود.
مزایا و ویژگی های بایوساید
- نابودی طیف گسترده میکروارگانیسم ها: بایوسایدها قادرند انواع باکتری ها، قارچ ها، جلبک ها و حتی ویروس ها را کنترل یا نابود کنند. این ویژگی، استفاده از آنها را در صنایع مختلف از تصفیه آب و نفت گرفته تا صنایع غذایی و دارویی ضروری می کند.
- جلوگیری از تشکیل بیوفیلم: بیوفیلم ها لایه های میکروبی هستند که به سطح تجهیزات می چسبند و باعث کاهش راندمان حرارتی و افزایش خوردگی می شوند. بایوسایدها با مهار رشد میکروارگانیسم ها، از تشکیل این لایه های زیستی جلوگیری می کنند.
- کارایی بالا در غلظت های پایین: بایوسایدها در مقادیر کم می توانند جمعیت میکروبی را کنترل کنند، بنابراین استفاده از آنها از نظر اقتصادی مقرون به صرفه است و مصرف بیش از حد مواد شیمیایی را کاهش می دهد.
- افزایش طول عمر تجهیزات و کاهش هزینه های تعمیر: با جلوگیری از رسوب، خوردگی و گرفتگی ناشی از رشد میکروبی، بایوسایدها نیاز به تعمیرات مکرر سیستم ها را کاهش می دهند و عمر مفید تجهیزات را افزایش می دهند.
- انعطاف پذیری و سازگاری با شرایط مختلف: بسته به نوع سیستم، کیفیت آب و نوع میکروارگانیسم ها، می توان از بایوسایدهای اکسیدکننده یا غیر اکسیدکننده استفاده کرد. این تنوع باعث کاربرد گسترده بایوساید در صنایع مختلف می شود.
- ایمنی محیطی و بهداشتی: بسیاری از بایوسایدهای مدرن فرمولاسیونی دارند که اثرات زیست محیطی کمتری ایجاد کرده و پس از مصرف به ترکیبات کم خطر یا بی خطر تجزیه می شوند، در نتیجه ایمنی محیطی و بهداشتی حفظ می شود.
نکات مهم در انتخاب و مصرف بایوساید
- انتخاب نوع بایوساید متناسب با نیاز سیستم: انتخاب صحیح نوع بایوساید اهمیت زیادی دارد. بسته به نوع سیستم، کیفیت آب، دما، جریان آب و نوع میکروارگانیسم های موجود، ممکن است بایوساید اکسیدکننده یا غیر اکسیدکننده مناسب تر باشد. برای مثال، در سیستم های با بار میکروبی بالا، بایوسایدهای اکسیدکننده معمولاً عملکرد سریع تری دارند، در حالی که برای کنترل بیوفیلم و میکروارگانیسم های مقاوم، بایوسایدهای غیر اکسیدکننده مؤثرتر هستند.
- رعایت دوز مصرفی توصیه شده: استفاده بیش از حد بایوساید نه تنها مقرون به صرفه نیست، بلکه ممکن است به تجهیزات و محیط زیست آسیب برساند. از سوی دیگر، مصرف کمتر از حد لازم باعث عدم کنترل میکروارگانیسم ها می شود. بنابراین رعایت دوز و برنامه زمانی تزریق دقیق، از اهمیت بالایی برخوردار است.
- توجه به سازگاری شیمیایی: برخی بایوسایدها ممکن است با مواد شیمیایی دیگر موجود در سیستم واکنش داده و اثرگذاری خود را از دست دهند یا ترکیبات مضر تولید کنند. پیش از انتخاب بایوساید، لازم است سازگاری آن با سایر مواد موجود در سیستم بررسی شود تا از بروز مشکلات جانبی جلوگیری شود.
- استفاده از تجهیزات ایمنی: بایوسایدها مواد شیمیایی قوی هستند و تماس مستقیم با پوست، چشم یا استنشاق بخارات آن ها می تواند خطرناک باشد. هنگام استفاده، حتماً از دستکش، عینک، ماسک و لباس محافظ استفاده کنید و دستورالعمل های ایمنی ارائه شده توسط تولیدکننده را رعایت نمایید.
- بررسی اثرات زیست محیطی: قبل از تخلیه پساب حاوی بایوساید به محیط، باید اثرات زیست محیطی آن بررسی شود. بسیاری از بایوسایدهای مدرن فرمولاسیونی دارند که پس از مصرف به ترکیبات کم خطر یا بی خطر تجزیه می شوند، اما رعایت دستورالعمل های تخلیه و دفع صحیح هنوز ضروری است.
- نگهداری و ذخیره سازی مناسب: بایوسایدها باید در محیط خشک، خنک و به دور از نور مستقیم خورشید نگهداری شوند تا از کاهش اثرگذاری و فساد شیمیایی جلوگیری شود. همچنین باید دور از دسترس کودکان و حیوانات باشد و در ظروف اصلی یا مقاوم نگهداری گردد.
قیمت بایوساید
قیمت بایوساید به عوامل متعددی بستگی دارد که شناخت آن ها به مشتری کمک می کند محصول مناسب را با بهترین ارزش خرید انتخاب کند. یکی از مهم ترین عوامل، نوع بایوساید است. بایوسایدها به دو دسته اکسیدکننده و غیر اکسیدکننده تقسیم می شوند و هر کدام دارای هزینه تولید و کاربرد متفاوتی هستند. به عنوان مثال، بایوسایدهای اکسیدکننده مانند کلر و ازن معمولاً هزینه تولید پایین تری دارند، در حالی که بایوسایدهای تخصصی غیر اکسیدکننده مانند گلوترآلدهید یا ایزوتیازولینون به دلیل پیچیدگی تولید و عملکرد طولانی تر قیمت بالاتری دارند.
عامل دوم غلظت و خلوص محصول است. هر چه درصد ماده فعال در بایوساید بالاتر باشد، اثرگذاری آن بیشتر بوده و طبیعتاً قیمت آن نیز افزایش می یابد. همچنین بسته بندی محصول (حجم، نوع ظرف و نحوه حمل ونقل) تأثیر مستقیمی بر هزینه نهایی دارد.
برند و تولیدکننده نیز عامل مهم دیگری است. بایوسایدهای تولیدشده توسط برندهای معتبر و دارای استانداردهای بین المللی، معمولاً قیمت بالاتری دارند، اما کیفیت و اثربخشی آن ها تضمین شده است.
میزان خرید هم نقش دارد؛ خرید عمده و حجم بالا معمولاً قیمت واحد محصول را کاهش می دهد، در حالی که خرید جزئی به دلیل هزینه های بسته بندی و حمل بیشتر، قیمت بالاتری خواهد داشت.
در نهایت، شرایط بازار و نوسانات قیمت مواد اولیه شیمیایی می تواند بر هزینه بایوساید تأثیرگذار باشد. بنابراین برای تعیین قیمت دقیق، همواره توصیه می شود با فروشنده یا تأمین کننده مشورت کرده و بسته به نیاز، نوع و حجم مناسب بایوساید را انتخاب کنید.
شرایط و نحوه نگهداری بایوساید
بایوسایدها مواد شیمیایی فعال و قوی هستند و نگهداری صحیح آنها نقش مهمی در حفظ کیفیت، اثرگذاری و ایمنی محصول دارد. این مواد باید در محیطی خشک، خنک و به دور از نور مستقیم خورشید نگهداری شوند، زیرا گرما و تابش نور می توانند باعث کاهش اثرگذاری و تجزیه ترکیبات فعال شوند. دمای مناسب نگهداری معمولاً در محدوده ای است که تولیدکننده مشخص می کند و باید به آن توجه ویژه داشت.
همچنین بایوسایدها باید در ظروف مقاوم و دربسته نگهداری شوند تا از ورود رطوبت و آلودگی های محیطی جلوگیری شود. بازکردن مداوم ظرف یا ذخیره سازی در ظروف غیر استاندارد می تواند کیفیت محصول را کاهش دهد و اثرگذاری آن را محدود کند.
یکی دیگر از نکات مهم، نگهداری بایوسایدها در محل دور از دسترس کودکان و حیوانات و جدا از مواد غذایی و دارویی است. تماس مستقیم با پوست، چشم یا استنشاق بخارات آن ها می تواند خطرناک باشد، بنابراین استفاده از تجهیزات ایمنی مانند دستکش، عینک و ماسک هنگام جابجایی و تزریق الزامی است.
بایوسایدها باید به دور از مواد شیمیایی ناسازگار ذخیره شوند، زیرا واکنش های شیمیایی ناخواسته می توانند هم اثرگذاری محصول را کاهش دهند و هم خطرات ایمنی ایجاد کنند. رعایت دستورالعمل های تولیدکننده و استانداردهای ایمنی، کلید حفظ کیفیت و کارایی بایوساید در طول زمان است.
مخازن مناسب برای نگهداری بایوساید
انتخاب مخزن مناسب برای نگهداری بایوساید اهمیت زیادی دارد، زیرا بسیاری از این مواد شیمیایی خاصیت خورندگی دارند و در صورت استفاده از مخزن نامناسب، کیفیت محصول کاهش یافته و ایمنی سیستم تهدید می شود. بهترین مخازن برای بایوساید معمولاً از مواد مقاوم در برابر خوردگی شیمیایی ساخته شده اند.
مخازن پلی اتیلن یکی از رایج ترین و مناسب ترین گزینه ها هستند. پلی اتیلن مقاومت بالایی در برابر بسیاری از اسیدها، بازها و مواد اکسیدکننده دارد و از این رو برای نگهداری انواع بایوسایدها، به ویژه بایوسایدهای اکسیدکننده مانند کلر و پراکسید هیدروژن، ایده آل است. این مخازن سبک، مقاوم و به راحتی قابل حمل و نصب هستند و معمولاً در حجم های مختلف از چند لیتر تا چند هزار لیتر تولید می شوند.
مخازن پلی پروپیلن نیز گزینه ای دیگر برای نگهداری بایوساید محسوب می شوند. این مخازن مقاومت شیمیایی بالایی دارند و برای ذخیره ترکیبات فعال قوی مناسب هستند، به ویژه در شرایطی که دما و فشار سیستم بالا باشد.
در موارد خاص و برای ذخیره مواد بسیار خورنده، مخازن استیل ضد زنگ (SS316 یا SS304) نیز استفاده می شوند. این مخازن دوام و پایداری بالایی دارند، اما هزینه آن ها بیشتر از مخازن پلی اتیلن یا پلی پروپیلن است و معمولاً برای حجم های بالا و بایوسایدهای حساس کاربرد دارند.










نقد و بررسیها
هنوز بررسیای ثبت نشده است.